频谱分析
频域分析是信号处理中的重要工具,通过将信号从时间域转换到频域,可以更直观地观察和分析信号的频谱特性。这种转换通常通过傅里叶变换(FT)来实现。以下是频域分析的详细内容。
1. 傅里叶变换(FT)
傅里叶变换是将信号从时间域转换到频域的数学工具,适用于连续信号和离散信号。
1.1 连续傅里叶变换(CFT)
连续傅里叶变换将连续时间信号 x(t) 转换为频域表示 X(f):

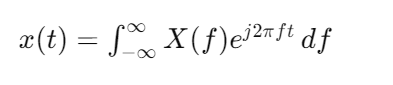
逆傅里叶变换用于将频域信号转换回时间域信号:

1.2 离散傅里叶变换(DFT)
离散傅里叶变换将离散时间信号 x[n] 转换为频域表示 X[k]:

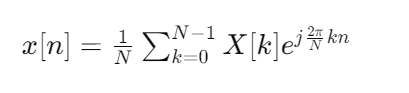
逆离散傅里叶变换用于将频域信号转换回时间域信号:

1.3 快速傅里叶变换(FFT)
快速傅里叶变换是计算DFT的高效算法,通常用于实际信号处理中。FFT的计算复杂度为 O(NlogN),大大提高了计算速度。
2. 频域分析的应用
频域分析有多种应用,包括但不限于以下几个方面:
2.1 频谱分析
通过频域分析,可以获得信号的频谱,即信号在各个频率分量上的幅度和相位。这对于理解信号的特性非常有用。例如,音频信号的频谱可以揭示音调和音色的特性。
2.2 滤波器设计与分析
在频域中设计和分析滤波器是非常直观的。通过查看滤波器的频率响应,可以确定其对不同频率分量的抑制或增强效果。
2.3 调制与解调
频域分析在通信系统中广泛应用,用于调制和解调信号。通过频域表示,可以更容易地理解和实现频率调制、幅度调制等技术。
3. 频域分析的工具与技术
3.1 短时傅里叶变换(STFT)
短时傅里叶变换用于分析非平稳信号,通过在不同时间窗口内计算傅里叶变换,得到时间-频率表示:

其中,w(t) 是时间窗口函数。
3.2 小波变换(Wavelet Transform)
小波变换是一种用于时频分析的工具,通过使用小波函数,可以获得信号在不同尺度和位置的频率信息。
3.3 功率谱密度(PSD)
功率谱密度描述信号功率在频率上的分布,是分析随机信号频谱特性的重要工具。可以通过Welch方法等技术估计PSD。
4. 频域分析的示例代码
以下是使用Python和NumPy库进行频域分析的示例代码,包括FFT和STFT:
4.1 使用FFT进行频域分析
import numpy as np
import matplotlib.pyplot as plt
# 生成示例信号
fs = 1000 # 采样率
t = np.linspace(0, 1, fs, endpoint=False)
f1, f2 = 50, 150 # 两个频率成分
x = np.sin(2 * np.pi * f1 * t) + 0.5 * np.sin(2 * np.pi * f2 * t)
# 计算FFT
X = np.fft.fft(x)
frequencies = np.fft.fftfreq(len(X), 1/fs)
# 绘制频域信号
plt.figure(figsize=(12, 6))
plt.subplot(2, 1, 1)
plt.plot(t, x)
plt.title('时域信号')
plt.xlabel('时间 (秒)')
plt.ylabel('幅度')
plt.subplot(2, 1, 2)
plt.plot(frequencies[:len(frequencies)//2], np.abs(X)[:len(X)//2])
plt.title('频域信号')
plt.xlabel('频率 (Hz)')
plt.ylabel('幅度')
plt.tight_layout()
plt.show()
4.2 使用STFT进行时频分析
from scipy.signal import stft
# 生成示例信号
fs = 1000 # 采样率
t = np.linspace(0, 1, fs, endpoint=False)
f1, f2 = 50, 150 # 两个频率成分
x = np.sin(2 * np.pi * f1 * t) + 0.5 * np.sin(2 * np.pi * f2 * t)
# 计算STFT
f, t_stft, Zxx = stft(x, fs, nperseg=256)
# 绘制STFT
plt.figure(figsize=(12, 6))
plt.pcolormesh(t_stft, f, np.abs(Zxx), shading='gouraud')
plt.title('STFT')
plt.ylabel('频率 (Hz)')
plt.xlabel('时间 (秒)')
plt.colorbar(label='幅度')
plt.tight_layout()
plt.show()