关于Matlab中使用latex编辑器修改默认字体问题(绘图)
虽然matlab支持在fig绘图中修改文本,并且选择编译器(tex or latex),但是很多人在画图中应该会碰到无法修改默认的latex字体问题,如何使latex编译出来的公式为新罗马字体?
以下举例(虽然简单,但是我翻了好久,matlab社区提问也没太大用,不过给了我灵感)
figure(1) x=[1:1:10]; y1=x.^2+x; plot(x,y1,'ro'); xlabel('X'); ylabel('y'); legend('y=x^2+x')

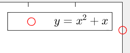
直接更改编译器,加$$,发现默认latex字体:legend('$y=x^2+x$','Interpreter','latex')

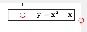
更改为新罗字体,此处加粗了:legend('$\mathrm{\mathbf{y=x^2+x}}$','Interpreter','latex')

以上三个对比很明显,可以参考我的matlab社区提问:https://ww2.mathworks.cn/matlabcentral/answers/2070061-how-to-change-latex-default-font-in-figure
使用latex编译器的预览:https://private.codecogs.com/eqneditor/eqneditor.php?lang=zh-cn(强烈推荐)
ps:嘿嘿,有问题滴滴我