染色
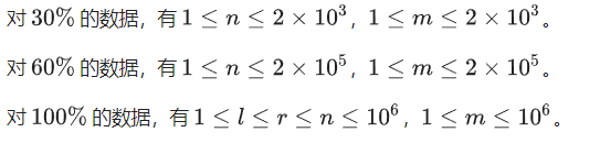
题目描述
在一条数轴上有n个点,分别为1-n 。一开始所有的点都被染成黑色。接着进行m次操作,第i次操作将[l,r]这些点染成白色。请输出每个操作执行后剩余黑色点的个数。
输入格式
输入第一行为n和 m。
下面一行每行两个数l,r 。
输出格式
输出m行,为每次操作后剩余黑色点的个数。
样例
样例输入
10 3
3 3
5 7
2 8
样例输出
9
6
3

分析
将[l,r]区间内的黑点染成白点。最朴素的方法是,从l到r逐个排查每个点,将黑点变白,统计黑点个数。时间复杂度(O(n2))超时了。
本题关键是提高查找区间内黑点位置的效率。
可以维护每个点右边最近的黑点的位 置 fa[p]
这样查找p向右最近的黑点位置时候可以跳过白点,p=fa[p]。
为了跳得更快点,可以路径压缩 :p=find(p) (并查集中的“查”)
染色操作的影响:
将p点染色后 ,p向右最近的黑点位置就是p+1点向右最近的黑点位置fa[p]=p+1(并查集中的“并”)
代码参考
1 #include <bits/stdc++.h> 2 using namespace std; 3 #define re register 4 5 #define LL long long 6 7 inline int read() { 8 int f = 1, lzx = 0; 9 char c = getchar(); 10 while ((c > '9') || (c < '0')) { 11 if (c == '-') 12 f = -f; 13 c = getchar(); 14 } 15 while (c <= '9' && c >= '0') { 16 lzx = lzx * 10 + c - '0'; 17 c = getchar(); 18 } 19 return lzx * f; 20 } 21 const int MAXN = 1e6 + 10; 22 int n, m, l, r, fa[MAXN]; 23 inline int find(int x) { 24 if (fa[x] == 0) 25 return x; 26 return fa[x] = find(fa[x]); 27 } 28 29 int main() { 30 n = read(); 31 m = read(); 32 int s = n; 33 for (int i = 1; i <= m; i++) { 34 l = read(); 35 r = read(); 36 for (;;) { 37 l = find(l); 38 if (l > r) 39 break; 40 // 染白l位置的点 41 s--; // 黑点个数减1 42 fa[l] = find(l + 1); // l右边最近的黑点位置,等于l+1右边最近的位置。 43 } 44 printf("%d\n", s); 45 } 46 47 return 0; 48 }