Spatial-Temporal Large Language Model for Traffic Prediction
1. 输入数据

这符合时间序列预测的典型设置:
- 输入数据包含多个特征(如历史的流量、天气、时间等),这些特征用于帮助模型进行预测。
- 输出数据则通常是要预测的目标变量,比如未来某个时间步的流量或温度,这个目标变量是一个单一的值,因此输出通道数是 1。
x_train包含多个特征(3 个通道),作为模型输入。y_train是模型的目标输出(1 个通道),表示每个时间步的真实值,模型需要通过学习从多个特征预测出这个单一目标值。
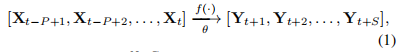
输入数据和预测数据的含义与序列建模中的典型任务一致,应该是基于过去的时间步预测未来的时间步。
- 输入数据:输入数据的形状为
(64, 12, 250, 3) - 预测数据:预测数据的形状为
(64, 12, 250, 1) - 预测任务:是基于过去 12 个时间步的数据来预测未来的 12 个时间步。
2. 时间维度的embedding
拼接下面三种生成的嵌入,做线性变换

拼接三个channel的特征 (12个时间步),做线性变换

站点标记的嵌入

站点小时嵌入和星期几嵌入的结合

-
小时嵌入 (time_day):提取每个节点在最后一个时间步的小时信息,经过嵌入矩阵映射为 256 维的向量,并调整维度以适应后续操作。
self.time_day可以看作嵌入的“字典”或查找表,其中键是小时(0 到 47),值是相应的 256 维嵌入向量,模型通过根据节点的时间信息在该“字典”中查找相应的向量,生成高维特征。 -
星期几嵌入 (time_week):提取每个节点在最后一个时间步的星期几信息,同样经过嵌入矩阵映射为 256 维的向量。
self.time_week可以看作嵌入的“字典”或查找表,其中键是星期几(0 到 6),值是相应的 256 维嵌入向量,模型通过根据节点的时间信息在该“字典”中查找相应的向量,生成高维特征。 -
时间嵌入 (tem_emb):将小时和星期几的嵌入相加,得到最终的时间嵌入,用于捕捉节点的时空特征。

3. GPT微调的过程




4. 预测的过程

也采用的是线性变换,将768维度转变为12维度
5. 三种损失

MAPE, RMSE 和 WMAPE 是三种不同的误差度量,它们用来衡量模型的预测值与真实值之间的误差。让我们分别解释这三种误差度量的定义和它们的作用:
三种误差度量的总结:
- MAPE:衡量的是预测值与真实值之间的相对百分比误差,适合比较模型的相对误差。由于分母是实际值,零值或接近零值可能导致计算不稳定。
- RMSE:衡量的是预测值与真实值的绝对误差,较为敏感于大误差,适合检测模型在预测中出现的大偏差。
- WMAPE:与 MAPE 类似,但通过加权真实值来平衡误差的影响,更加稳健,能够避免 MAPE 的一些缺陷。
这些误差度量的共同作用是帮助你更全面地评估模型的预测性能。