对应分析
为什么用对应分析
对数据降维是经常使用因子分析和主成分分析。
但因子分析对变量和对样本分别是R型和Q型,这两种分析方法往往是相互对立的,必须分别对样本和变量进行处理。
如果关系样本和变量之间的关系,就不好用。
这时,可用对应分析 😇
对应分析为我们可以提供三个方面的信息
- 变量之间的信息
- 样本之间的信息
- 变量与样本之间的信息
基本思路
该方法的基本思想就是将一个列联表的行和列中各元素的比例结构以点的形式在较低维的空间中表示出来。
列联表的每一行及每一列均以二维图上的一个点来表示,以直观、简洁的形式描述属性变量各种状态之间的相互关系及不同属性变量之间的相互关系。
对于结果图,需要看惯量和卡方分解, 根据累计贡献率确定维数。
步骤
对应分析大致有四大步骤,分别为:
- 编制交叉列联表
- 根据原始矩阵进行对应变换
- 行变量和列变量的分类降维处理
- 绘制行列变量分类的对应分布图

注意事项
运用对应分析发有这些要求:
-
变量是名义变量或定序变量
-
行变量的类别取值与列变量相互独立
在对数据作对应分析之前,需要先了解因素间是否独立。如果因素之间相互独立,则没有必要进行对应分析,当因素间在统计学上具有显著的关联性时,在此基础上使用对应分析方法,其分析结果才具有意义。
-
行列变量构成的交叉频数表中不能出现小于等于零的情况
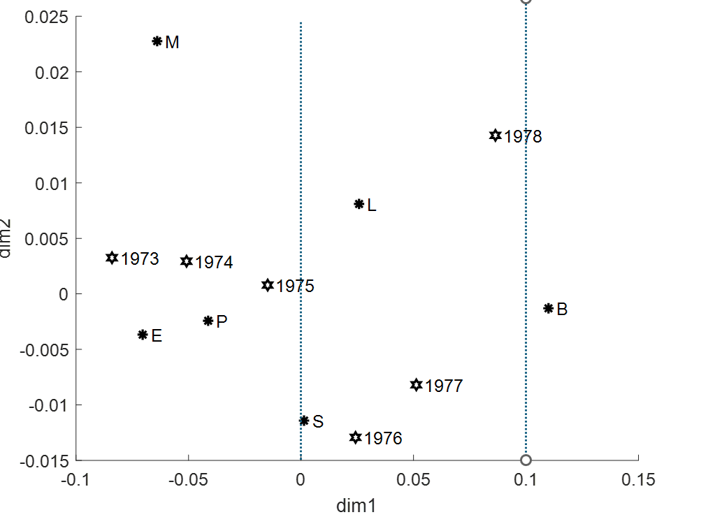
分析二维图得出结果

将图表分成4块
每一块的点有较强相关性

分为3块