网络层


现在用的是无连接的数据报服务


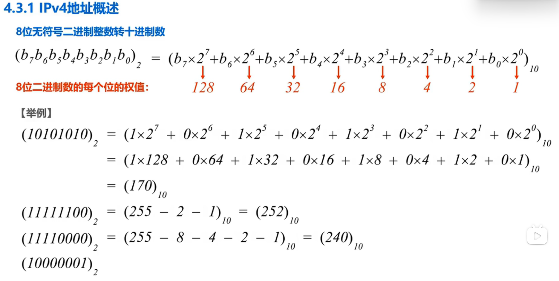
IPV4采用点分十进制表示方法:



分类编址:





子网编址:



下面这个题,1.从218可以看出是C类网络。2.说明子网掩码只有最后一位是分配给主机的,是192,化成二进制就是00000011. 3.因为这里有2个1,所有划分子网数量等于2的2次方。

从180看出是B类网,取子网掩码靠右的两个,化成2进制,发现总共有6个1。所以取前6位(红色部分)作为子网号,剩下靠右的全部是主机号,全0为网络地址,全1为广播地址。再化成十进制即可得到答案。



无分类编址:






定长子网掩码:每个子网的子网掩码数量相等,这样会浪费一些IP地址。比如每个子网所需要的子网掩码数量不一样,主机数量不同。

变长子网掩码:























聚合路由:由192.168.1.0/24和192.168.2.0/24共同得来的,根据他俩最长共同前缀,然后前缀后面所有都取0
