CMC备赛
第一部分:知识查漏补缺+经典例题回顾【函数、微分、积分、微分方程、级数、空间解析几何】

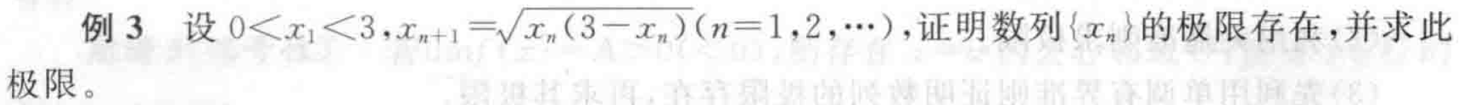
回忆:证单调有界是证存在极限的常用方法。

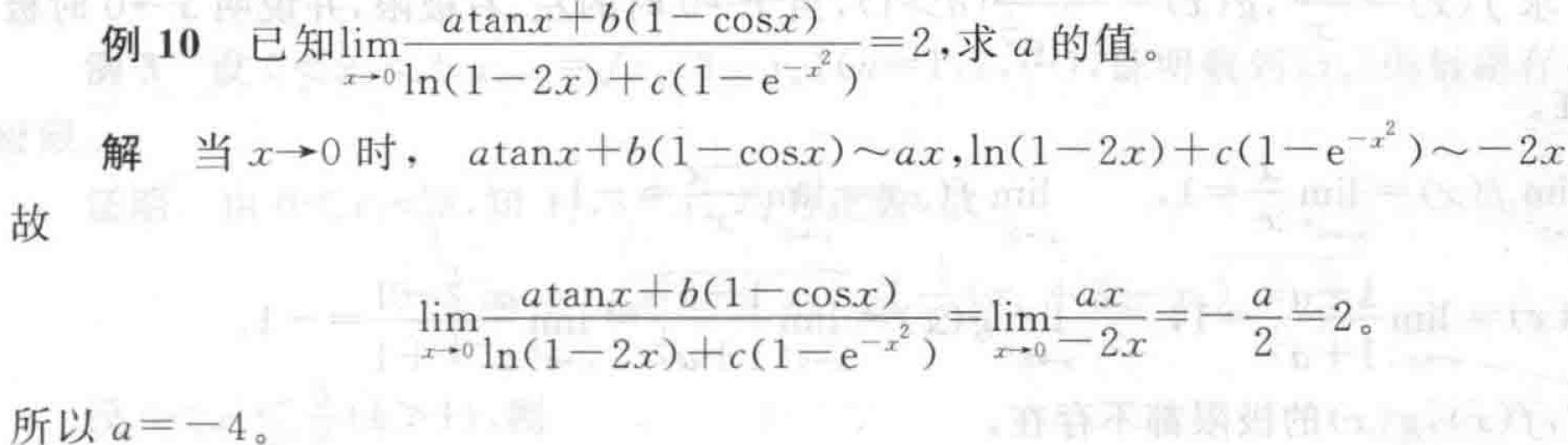
虽然是按等价无穷小的方法写的但是明显用泰勒展开去想就行了。

简单但很好的考察了连续性。

简单但容易晕,看清谁是谁的函数。

难点。

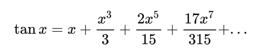
记住第二项。这个和伯努利数有关系。



回顾一下隐函数吧!
微分方程:一阶、可降次二阶、线性微分方程

回忆:证单调有界是证存在极限的常用方法。

虽然是按等价无穷小的方法写的但是明显用泰勒展开去想就行了。

简单但很好的考察了连续性。

简单但容易晕,看清谁是谁的函数。

难点。

记住第二项。这个和伯努利数有关系。



回顾一下隐函数吧!
微分方程:一阶、可降次二阶、线性微分方程