2.1 电路的等效替换 平衡电桥 Y形联结和△形联结的电阻等效变换
2.1 电路的等效替换 平衡电桥 Y形联结和△形联结的电阻等效变换
一、电路的等效变换
1.一端口
任何一个复杂的电路,向外引出两个端钮,且从一个端子流入的电流等于从另一个端子流出的电流,则称这一电路为二端网络
2.等效电路
两个二端电路,端口具有相同的电压、电流关系,则称他们是等效的电路
两个二端电路,端口具有相同的电压、电流关系,则称他们是等效的电路
二、电阻的串并联 平衡电桥
1.串并联省略,初中知识
2.平衡电桥
桥型结构,R1R4 = R2R3时,对角线支路中的电流为0,R5可以看做是短路也可以看作是开路,电路达到了电桥平衡
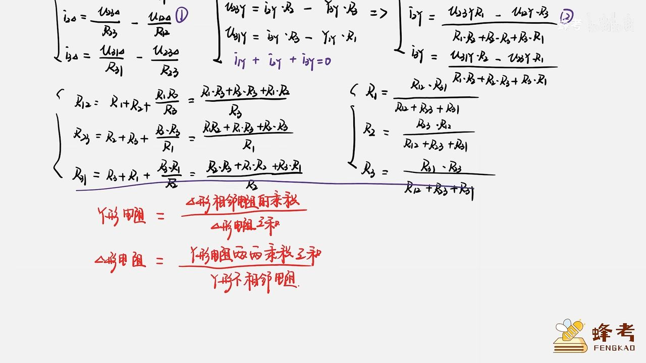
如果不满足桥型电路,可以将三角形联结转换成星型联结, 即电阻的Y形联结和△形联结的等效变换


3.电阻的Y形联结和△形联结的等效变换
公式:
Y形电阻 = △形相邻电阻的乘积 / △形电阻之和
△形电阻 = Y形电阻两两乘积之和 / Y形不相邻电阻
推导:

