遍历二叉树求叶子结点,深度,结点数,以及前序,中序,后序遍历
#include <stdio.h>
// 二叉树结构体
typedef struct BT_node
{
int data;
struct BT_node* left;
struct BT_node* right;
}BT_node;
// 先序遍历
void DLR(BT_node* tree)
{
if(NULL == tree)
return;
printf("%d ", tree->data);
DLR(tree->left);
DLR(tree->right);
}
// 中序遍历
void LDR(BT_node* tree)
{
if(NULL == tree)
return;
LDR(tree->left);
printf("%d ", tree->data);
LDR(tree->right);
}
// 后序遍历
void LRD(BT_node* tree)
{
if(NULL == tree)
return;
LRD(tree->left);
LRD(tree->right);
printf("%d ", tree->data);
}
// 叶子结点数
int leaf(BT_node* tree)
{
if(NULL == tree)
return 0;
if(NULL == tree->left && NULL == tree->right)
return 1;
int l = leaf(tree->left);
int r = leaf(tree->right);
return l+r;
}
// 深度
int high(BT_node* tree)
{
if(NULL == tree)
return 0;
int l = high(tree->left);
int r = high(tree->right);
if(l > r)
return l + 1;
else
return r + 1;
}
// 深度
int node_Num(BT_node* tree)
{
if(NULL == tree)
return 0;
static int count = 0;
count++;
node_Num(tree->left);
node_Num(tree->right);
return count;
}
int main(int argc, char const *argv[])
{
// 结点数据
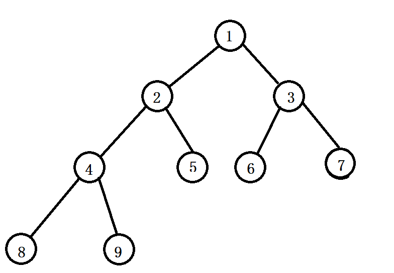
BT_node bt[9] = {
{1, NULL, NULL},
{2, NULL, NULL},
{3, NULL, NULL},
{4, NULL, NULL},
{5, NULL, NULL},
{6, NULL, NULL},
{7, NULL, NULL},
{8, NULL, NULL},
{9, NULL, NULL}
};
bt[0].left = &bt[1];bt[0].right = &bt[2];
bt[1].left = &bt[3];bt[1].right = &bt[4];
bt[2].left = &bt[5];bt[2].right = &bt[6];
bt[3].left = &bt[7];bt[3].right = &bt[8];
DLR(bt);
puts("");
LDR(bt);
puts("");
LRD(bt);
puts("");
printf("leaf: %d\n", leaf(bt));
printf("high: %d\n", high(bt));
printf("count: %d\n", node_Num(bt));
return 0;
}

