Tarjan 缩点 (洛谷 P3387 【模板】缩点)

JT-dw 的杂货仓 / 2023-08-10 / 原文

在洛谷中查看


Tarjan 介绍:

Tarjan 大致有两种,有向图中的 与 无向图中的。

  • 有向图中:求得是 缩点
  • 无向图中:求得是 割点

此文介绍的是有向图中的 缩点

\(dfn\) 表示遍历到这个点的时间(这个时间的定义就是 Tarjan 被调用的次数)。
\(low\) 表示这个点,它能到的点中 \(dfn\) 最小的是多少。

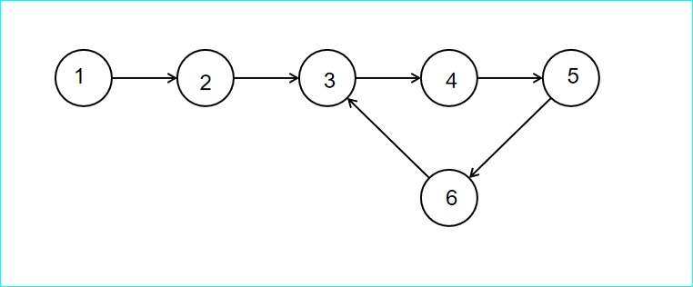
给你个图看看,我们默认遍历是从 \(1 ~ n\) 的。

图片名称
注:有向图 与 无向图 中 \(dfn\)\(low\) 的定义有所不同。

Tarjan 模拟:

突然感觉 Tarjan 很神奇。我想给大家模拟一遍,然后希望能让大家更好理解。(了解一下代码再看看图解哦~)

图片名称

不断递归,从点 \(1\) 到点 \(6\)

到点 \(6\) 时发现点 \(3\) 到过了,那么不再递归。此时 \(low[6]\)\(3\),不会划分强连通。

回溯到点 \(5\) ,\(low[5]\)\(3\),不会划分强连通。点 \(4\) 同理。

直到回溯到点 \(3\)\(dfn[3] = low[3]\),所以划分强连通。点 \(2\)、点 \(1\) 一样。


所以如果能够强连通,\(low\) 必然被更新掉了,\(dfn = low\) 的情况只会有一次。
如果不能够强连通(就自己一个点在一个强连通里),\(dfn = low\) 也只有一次。

真的很神奇,很巧妙啊。


对喽,还有一些难理解的地方简单讲一下。

  • else if(!col[t])low[x]=min(low[x],dfn[t]); 这句话改为 low[x]=min(low[x],low[t]);缩点模板中是可行的,但在求割点里是不行的,因为:如果这个点是割点,那么说明这个点能到的子图里(不止一个子图) 没有其他的边连着它们。我在无向图模板中会给图的,期待一下吧。

所有思考都在代码,可以结合代码思考。谢谢观看~

#include<bits/stdc++.h>
using namespace std;
const int N = 1e4+5;
int n,m,val[N];
int dfn[N], low[N], num, col[N], cnt;
//col 记录每个点属于哪个联通分量 
//num 记录遍历时间    cnt 记录缩点完后有多少个点 
int st[N], top;
queue<int> q;
int new_val[N], du[N], f[N], ans;
vector<int> g[N],new_g[N];
inline int read(){
	int s=0,f=1;char c=getchar();
	while(c<'0'||c>'9'){if(c=='-')f=-1;c=getchar();}
	while(c>='0'&&c<='9'){s=(s<<1)+(s<<3)+(c^48);c=getchar();}
	return s*f;
}
void tarjan(int x){
	dfn[x]=low[x]=++num;st[++top]=x;//更新这个点 
	for(int i=0;i<g[x].size();i++){
		int t=g[x][i];
		if(!dfn[t])tarjan(t),low[x]=min(low[x],low[t]);//往下更新(要确保下个点没被更新) 
		else if(!col[t])low[x]=min(low[x],dfn[t]);//被更新了,但没被划分到强连通分量里 
	}
	if(dfn[x]==low[x])for(cnt++;st[top+1]!=x;top--)col[st[top]]=cnt,new_val[cnt]+=val[st[top]];//找到这个连通分量的代表,划分 
	/*
	为什么要有low?
		因为我们最后要划分强连通分量(上面的操作),但不知道什么时候划分,所以添一个low。
		当dfn==low时就统计,这样不重不漏。 
	*/
}
void topsort(){
	for(int i=1;i<=cnt;i++)if(!du[i])q.push(i),f[i]=new_val[i],ans=max(ans,new_val[i]);
	while(!q.empty()){
		int h=q.front();
		q.pop();
		for(int i=0;i<new_g[h].size();i++){
			int t=new_g[h][i];
			f[t]=max(f[t],f[h]+new_val[t]);//缩点后无环,能直接统计 
			ans=max(ans,f[t]);
			if(!--du[t])q.push(t);
		}
	}
}
int main(){
	n=read(),m=read();
	for(int i=1;i<=n;i++)val[i]=read();
	for(int i=1;i<=m;i++){
		int u=read(),v=read();
		g[u].push_back(v);
	} 
	for(int i=1;i<=n;i++)if(!dfn[i])tarjan(i);//这个点仍不在任一个强连通分量里 
	/*
	目的:把每个点都放进一个强连通分量里,这样缩点完后就不存在环,就可以拓扑排序了 
	所以流程就是:
	1.缩点,使整个图无环,方便后面拓扑排序  复杂度:O(n+m) 
	2.拓扑排序找最大路径 复杂度:O(m)
	*/
	for(int i=1;i<=n;i++){
		for(int j=0;j<g[i].size();j++){
			int t=g[i][j];
			if(col[i]!=col[t])new_g[col[i]].push_back(col[t]),du[col[t]]++;//记录新图的边 
		}
	} 
	topsort();
	cout<<ans;
	return 0;
}