递归/搜索
递归
递归(Recursion):函数在运行时调用自己
编写一个递归函数
- 这个递归函数的功能是什么,怎样调用这个函数,即设计好递归函数的返回值和参数列表
- 什么时候应该结束这个递归,它的边界条件(出口)是什么
- 在非边界情况时,怎样进行状态的转换
计算阶乘(factorial)
int factorial(int n) {
if (n == 0) return 1;
return n * factorial(n - 1);
}
int ans = factorial(10); // 调用递归函数
计算最大公约数(辗转相除法)
gcd(12, 32) -> gcd(12, 8) -> gcd(8, 4) -> gcd(4, 0)
int gcd(int x, int y) {
return y == 0 ? x : gcd(y, x % y);
}
int ans = gcd(12, 32);
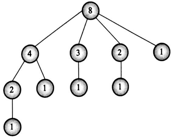
例:P1028 [NOIP2001 普及组] 数的计算
比如说,数列中最开始只有一个元素8,在末尾加入一个新元素,列表就可以变成[8 4]、[8 3]、[8 2]、[8 1],算上[8]一共有5种情况。如果之后还需要计算更长的数列的方案数,只需要按照上面这种方法,分别计算[4]、[3]、[2]、[1]按照这样的操作能有几种情况,然后累加统计即可。因为以4开头(3、2、1同理)的所有合法数列,都可以接续到8的后面
原本是要解决n=8的问题,现在分解成了4个规模更小(n=4,3,2,1)但本质上一样的子问题;如果要解决n=4的问题,基于同样的思想还可以分解成两个规模更小的(n=2,1)但本质上一样的子问题;当需要解决n=2的问题时,可以分解成n=1的问题(只有n=1的情况了);直到n=1时,没法继续分解,此时可以直接返回只有唯一一种数列,即[1]。然后返回上一层(n=2)接收到所有小规模问题的答案,合并统计处理获得这个规模下的答案,再继续返回上一层(n=4),…… 直到求得问题的解

于是可以写出这样的程序:
#include <cstdio>
int solve(int n) {
if (n == 1) return 1;
int ret = 1;
for (int i = 1; i <= n / 2; i++) ret += solve(i);
return ret;
}
int main()
{
int n;
scanf("%d", &n);
printf("%d\n", solve(n));
return 0;
}
这个程序正确性上并没有问题,但是不能AC,运行效率低导致程序超时。这是因为做了很多无用功,比如 solve(2) 可能由 solve(4) 调用,也有可能被 solve(8) 调用,但是 solve(2) 本身的结果是固定不变的,在这里却重复执行了多次造成浪费
为了解决这个问题,可以定义一个数组 f,其每一项 f[i] 表示当问题规模为 i 时的结果。首先将数组全部初始化为 -1,表示 f[i] 还没有被计算过。依然使用同样的方法去求解,只是如果发现是已经计算过的问题,就直接返回 f[i] 而不必进行接下来的计算了,否则还是按照刚才的递归方式计算,然后将结果存入数组中以便之后再次调用。改进后的代码如下:
#include <cstdio>
const int MAXN = 1005;
int f[MAXN];
int solve(int n) {
int ret = 1;
if (f[n] != -1) return f[n];
for (int i = 1; i <= n / 2; i++) ret += solve(i);
return f[n] = ret;
}
int main()
{
int n;
scanf("%d", &n);
for (int i = 1; i <= n; i++) f[i] = -1;
printf("%d\n", solve(n));
return 0;
}
这样,每个数字最多只计算一次,因为一旦计算完成就会被存下来,便于日后使用。这样的思想称为“记忆化搜索”
深度优先搜索(DFS)
例:P1605 迷宫
- 存储迷宫
二维数组 b[x][y] 存储迷宫信息,兼职判重
dx[] dy[] 数组存方向偏移量 - 深搜与回溯
从起点开始,往四个方向尝试,能走就打上标记,锁定现场,然后走过去;到达目的地则更新答案;走投无路则返回,返回后要去除标记,恢复现场;继续尝试,直到尝遍所有可能,最终从入口退出。 - 深搜实际上对应一棵DFS树

#include <cstdio>
int n, m, t, ans;
int sx, sy, fx, fy;
int b[10][10];
int dx[4] = {-1, 0, 1, 0};
int dy[4] = {0, 1, 0, -1};
void dfs(int x, int y) {
if (x == fx && y == fy) {
++ans;
return;
}
for (int i = 0; i < 4; ++i) {
int xx = x + dx[i];
int yy = y + dy[i];
if (xx >= 1 && xx <= n && yy >= 1 && yy <= m && b[xx][yy] == 0) {
b[xx][yy] = 1; // (xx,yy)被走过
dfs(xx, yy);
b[xx][yy] = 0; // 复原
}
}
}
int main()
{
scanf("%d%d%d%d%d%d%d", &n, &m, &t, &sx, &sy, &fx, &fy);
for (int i = 1; i <= n; ++i)
for (int j = 1; j <= m; ++j)
b[i][j] = 0;
for (int i = 0; i < t; ++i) {
int x, y;
scanf("%d%d", &x, &y);
b[x][y] = 2;
}
b[sx][sy] = 1;
dfs(sx, sy);
printf("%d\n", ans);
return 0;
}
例:P1644 跳马问题
- 用 dx[] dy[] 数组存方向偏移量
- DFS搜索方案
从起点开始,向右边的四个点尝试,能走就走过去,一直到走投无路返回;到达目的地则更新答案;一直尝试,直到穷尽所有可能
由于本题限制了跳转方向,每个点不会往回走,所以不需要判重 - 深搜会生成DFS树

#include <cstdio>
const int MAXN = 20;
int n, m, ans;
int dx[4] = {2, 1, -1, -2};
int dy[4] = {1, 2, 2, 1};
void dfs(int x, int y) {
if (x == n && y == m) {
ans++;
return;
}
for (int i = 0; i < 4; i++) {
int xx = x + dx[i], yy = y + dy[i];
if (xx >= 0 && xx <= n && yy <= m) dfs(xx, yy);
}
}
int main()
{
scanf("%d%d", &n, &m);
dfs(0, 0);
printf("%d\n", ans);
return 0;
}
例:P1219 [USACO1.5] 八皇后
- 存储数据
ans数组记录各行放的位置
c数组标记某一列是否放置了棋子
d1数组标记副对角线,用到的下标范围是 行+列 2,3,4,...,2n
d2数组标记主对角线,用到的下标范围是 行-列+n(因为下标不能是负数,统一加n做偏移) 1,2,3,...,2n-1 - DFS搜索方案
2.1 从第1行开始放,然后尝试放第2~n行
2.2 对于某一行,依次枚举每一列,如果某一列能放下,则记住放置位置,宣布占领该位置的辐射区域,然后继续搜索下一行
2.3 如果某一行的每一列都不能放下,则退回前一行,恢复现场,尝试前一行的下一列
2.4 如果能放满n行,说明找到了一种合法方案,则方案数+1,打印方案,接着返回上一行,继续搜索其他的合法方案,直到搜完所有的可能方案
2.5 因为是逐行逐列搜的,先搜到的方案字典序一定更小

#include <cstdio>
const int MAXN = 30;
int n, cnt;
int ans[MAXN], c[MAXN], d1[MAXN], d2[MAXN];
void dfs(int i) {
if (i > n) {
cnt++;
if (cnt <= 3) {
for (int j = 1; j <= n; j++) printf("%d ", ans[j]);
printf("\n");
}
return;
}
for (int j = 1; j <= n; j++) {
if (!c[j] && !d1[i + j] && !d2[i - j + n]) {
ans[i] = j; // 记录第i行的皇后放在了第j列
c[j] = d1[i + j] = d2[i - j + n] = 1; // 标记
dfs(i + 1);
c[j] = d1[i + j] = d2[i - j + n] = 0; // 复原
}
}
}
int main()
{
scanf("%d", &n);
dfs(1);
printf("%d\n", cnt);
return 0;
}
宽度优先搜索(BFS)
- 宽搜的过程
从起点开始,向下逐层扩展,逐层访问 - 宽搜的实现
宽搜是通过队列实现的,用 queue 创建一个队列,在搜索过程中通过队列来维护序列的状态空间,入队就排队等待,出队就扩展后续状态入队
例:[USACO07OPEN] Catch That Cow S
5-1=4; 4*2=8; 8*2=16; 16+1=17
- 暴力搜索当前位置的三种移动方式
- 要求最小步数,应该用BFS
- 从起始位置x开始搜索,ans数组存储移动步数,当x==y时,ans[y]即答案
边界约束 \((1 \le x \le 10^5)\) 与去重
x*2,x-1,x-1 不如 x-1,x*2 更优,所以上界:\(x \le 10^5\)
减到 0 或负以后再加也不会更优,所以下界:\(x \ge 1\)

#include <cstdio>
#include <queue>
using namespace std;
const int MAXN = 100005;
int ans[MAXN];
int main()
{
int t;
scanf("%d", &t);
while (t--) {
for (int i = 0; i < MAXN; i++) ans[i] = -1;
int x, y;
scanf("%d%d", &x, &y);
queue<int> q;
q.push(x); ans[x] = 0;
while (!q.empty()) {
int cur = q.front(); q.pop();
if (cur == y) break;
if (cur + 1 < MAXN && ans[cur + 1] == -1) {
ans[cur + 1] = ans[cur] + 1; q.push(cur + 1); // 前进一步
}
if (cur - 1 > 0 && ans[cur - 1] == -1) {
ans[cur - 1] = ans[cur] + 1; q.push(cur - 1); // 后退一步
}
if (cur * 2 < MAXN && ans[cur * 2] == -1) {
ans[cur * 2] = ans[cur] + 1; q.push(cur * 2); // 走到2倍位置
}
}
printf("%d\n", ans[y]);
}
return 0;
}
洪水填充(flood fill)
- 判断连通性和统计连通块个数的问题
例:P1596 [USACO10OCT] Lake Counting S
- 存储网格图
f[x][y] 存储网格图
dx[8] dy[8] 存储方向偏移量 - 搜索
枚举单元格,判断是否可以进入
如果可以进入,则水坑数量+1,并且将该单元格所属水坑的其他单元格全都进入一遍(这里DFS和BFS都可实现)
为避免重复搜索,对走过的单元格进行标记
DFS实现
#include <cstdio>
char f[105][105];
int n, m;
int dx[8] = {-1, -1, -1, 0, 0, 1, 1, 1};
int dy[8] = {-1, 0, 1, -1, 1, -1, 0, 1};
void dfs(int x, int y) {
f[x][y] = '.';
for (int i = 0; i < 8; i++) {
int xx = x + dx[i];
int yy = y + dy[i];
if (xx >= 0 && xx < n && yy >= 0 && yy < m && f[xx][yy] == 'W') {
dfs(xx, yy);
}
}
}
int main()
{
scanf("%d%d", &n, &m);
for (int i = 0; i < n; i++) scanf("%s", f[i]);
int lake = 0;
for (int i = 0; i < n; i++)
for (int j = 0; j < m; j++)
if (f[i][j] == 'W') {
lake++;
dfs(i, j);
}
printf("%d\n", lake);
return 0;
}
BFS实现
#include <cstdio>
#include <queue>
using namespace std;
char f[105][105];
int n, m;
int dx[8] = {-1, -1, -1, 0, 0, 1, 1, 1};
int dy[8] = {-1, 0, 1, -1, 1, -1, 0, 1};
struct Node {
int x, y;
};
void bfs(int x, int y) {
f[x][y] = '.';
queue<Node> q;
q.push({x, y});
while (!q.empty()) {
Node t = q.front(); q.pop();
for (int i = 0; i < 8; i++) {
int xx = t.x + dx[i], yy = t.y + dy[i];
if (xx >= 0 && xx < n && yy >= 0 && yy < m && f[xx][yy] == 'W') {
f[xx][yy] = '.';
q.push({xx, yy});
}
}
}
}
int main()
{
scanf("%d%d", &n, &m);
for (int i = 0; i < n; i++) scanf("%s", f[i]);
int lake = 0;
for (int i = 0; i < n; i++)
for (int j = 0; j < m; j++)
if (f[i][j] == 'W') {
lake++;
bfs(i, j);
}
printf("%d\n", lake);
return 0;
}
- 时间复杂度:\(O(nm)\)