Redis-数据结构常用命令
自己总结一下Redis数据库中的数据结构于常用命令(看的黑马的课,感觉讲的很详细,遂做个记录)
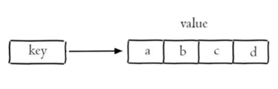
Redis存储的是key-value结构的数据,其中key是字符串类型,value有5种常用的数据类型:
- 字符串 string : 普通字符串,Redis中最简单的数据类型
- 哈希 hash: 也叫散列,类似于Java中的HashMap结构
- 列表 list: 按照插入顺序排序,可以有重复元素,类似于Java中的LinkedList
- 集合 set: 无序集合,没有重复元素,类似于Java中的HashSet
- 有序集合 sorted set / zset: 集合中每个元素关联一个分数(score),根据分数升序排序,没有重复元素
字符串操作命令:(类似java中的HashMap,通过键值对存储数据)
- SET key value 设置指定key的值
- GET key 获取指定key的值
- SETEX key seconds value 设置指定key的值,并将 key 的过期时间设为 seconds 秒
- SETNX key value 只有在 key 不存在时设置 key 的值
哈希操作命令:(Redis hash 是一个string类型的 field 和 value 的映射表,hash特别适合用于存储对象)

- HSET key field value 将哈希表 key 中的字段 field 的值设为 value
- HGET key field 获取存储在哈希表中指定字段的值
- HDEL key field 删除存储在哈希表中的指定字段
- HKEYS key 获取哈希表中所有字段
- HVALS key 获取哈希表中所有值
列表操作命令(Redis 列表是简单的字符串列表,按照插入顺序排序,类似于Java中的栈,先存储的数据会放在后面)

- LPUSH key value1 [value2] 将一个或多个值插入到列表头部(左边)
- LRANGE key start stop 获取列表指定范围内的元素
- RPOP key 移除并获取列表最后一个元素(右边)
- LLEN key 获取列表长度
集合操作命令(Redis set 是string类型的无序集合。集合成员是唯一的,集合中不能出现重复的数据)

- SADD key member1 [member2] 向集合添加一个或多个成员
- SMEMBERS key 返回集合中的所有成员
- SCARD key 获取集合的成员数
- SINTER key1 [key2] 返回给定所有集合的交集
- SUNION key1 [key2] 返回所有给定集合的并集
- SREM key member1 [member2] 删除集合中一个或多个成员
有序集合操作命令(Redis有序集合是string类型元素的集合,且不允许有重复成员。每个元素都会关联一个double类型的分数,类似权重)

- ZADD key score1 member1 [score2 member2] 向有序集合添加一个或多个成员
- ZRANGE key start stop [WITHSCORES] 通过索引区间返回有序集合中指定区间内的成员
- ZINCRBY key increment member 有序集合中对指定成员的分数加上增量 increment
- ZREM key member [member ...] 移除有序集合中的一个或多个成员