牛客题解-胖胖的牛牛
牛客题解-胖胖的牛牛
原题链接
思路
这道题实际上就是一个优先队列bfs,在思路上并没有过多需要解释的,但是却有一些细节需要注意。
细节
首先就是如何判断是否转弯了(因为要统计总共的转弯数量)。
我们在写地图bfs的时候,往往会用到两个数组:
constexpr int dx[] = {-1, 1, 0, 0};
constexpr int dy[] = {0, 0, -1, 1};
可以方便的使用for循环遍历,从而计算出当前节点的上下左右相邻结点的坐标
可以看出,下标为0时,(dx, dy)是(-1, 0),向上走,同理,下标为1时向下走,下标为2时向左走,下标为3时向右走。
那么我们完全可以使用一个变量记录方向:
dir==0 向上
dir==1 向下
dir==2 向左
dir==3 向右
这样,就能让我们很方便的判断是否转弯,因为我们在bfs中,会有如下过程:
while (!que.empty()) {
pre = que.top(); que.pop();
...
for (int i = 0; i < 4; ++i) {
nex.x = pre.x + dx[i];
nex.y = pre.y + dy[i];
if (nex.x < 0 || nex.x >= n || nex.y < 0 || nex.y >= n) continue;
...
}
}
那么我们在试图向队列中加入新的结点时,直接比较此时for循环的i和当前节点记录的dir就可以了,如下:
while (!que.empty()) {
pre = que.top(); que.pop();
...
for (int i = 0; i < 4; ++i) {
nex.x = pre.x + dx[i];
nex.y = pre.y + dy[i];
if (nex.x < 0 || nex.x >= n || nex.y < 0 || nex.y >= n) continue;
...
if (pre.dir != -1 && pre.dir != i)
que.push({nex.x, nex.y, pre.cnt + 1, i});
else
que.push({nex.x, nex.y, pre.cnt, i});
}
}
还有另外一个细节,就是vis数组。
当bfs或dijsktra写多了,就会有一个惯性思维,会认为只要当前节点来过,就把vis设为true(在之后不会再访问这个节点了)。实际上vis数组的设计是为了“剪枝”,即便将这个节点再放入队列中,也不会使答案产生更新了,此时才把vis[x]设为true。所以一定要考虑清楚这道题在什么情况下,一个节点不会导致答案的更新。
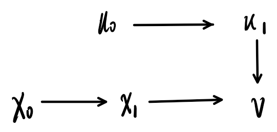
对这道题来说,是只要当前节点来过了,就一定不会导致答案更新了吗?并不是,因为虽然我们每次从队列中取出的是当前转弯次数最少的节点,但是如果从当前节点到下一个节点x而得到的转弯次数,并不一定会比其他节点到节点x的转弯次数少,比如:

如果\(x_1\)和\(u_1\)转弯次数相同,然后从队列中取出的是\(u_1\),那么明显可以看出,节点v会从\(u_1\)首先到达,但实际上从\(x_1\)到达才是转弯次数最少的。
所以,正确方案应该是:每次从队列中取出来的,是当前所有节点中转弯次数最少的,那么这个就一定是当前这个点的最少转弯次数了,此时将当前节点vis设为true。
AC代码
#include<bits/stdc++.h>
using namespace std;
using i64 = long long;
constexpr int dx[] = {-1, 1, 0, 0};
constexpr int dy[] = {0, 0, -1, 1};
int n;
struct Point {
int x, y, cnt, dir;
bool operator < (const Point& p) const {
return cnt > p.cnt;
}
};
struct Graph {
string g[105];
bool vis[105][105];
void bfs(int x, int y) {
Point pre = {x, y, 0, -1}, nex;
priority_queue<Point> que; que.push(pre);
while (!que.empty()) {
pre = que.top(); que.pop();
if (g[pre.x][pre.y] == 'B') {
cout << pre.cnt << '\n';
return;
}
vis[pre.x][pre.y] = true;
for (int i = 0; i < 4; ++i) {
nex.x = pre.x + dx[i];
nex.y = pre.y + dy[i];
if (nex.x < 0 || nex.x >= n || nex.y < 0 || nex.y >= n) continue;
if (g[nex.x][nex.y] == 'x') continue;
if (vis[nex.x][nex.y]) continue;
if (pre.dir != -1 && pre.dir != i)
que.push({nex.x, nex.y, pre.cnt + 1, i});
else
que.push({nex.x, nex.y, pre.cnt, i});
}
}
cout << -1 << '\n';
}
}gra;
int main() {
ios::sync_with_stdio(false);
cin.tie(0);
cin >> n;
for (int i = 0; i < n; ++i) {
gra.g[i].resize(n);
for (int j = 0; j < n; ++j) {
cin >> gra.g[i][j];
}
}
int sx, sy;
for (int i = 0; i < n; ++i) {
for (int j = 0; j < n; ++j) {
if (gra.g[i][j] == 'A') {
sx = i;
sy = j;
goto NEX;
}
}
}
NEX:
gra.bfs(sx, sy);
return 0;
}
错误示例
while (!que.empty()) {
pre = que.top(); que.pop();
if (vis[pre.x][pre.y]) continue; vis[pre.x][pre.y] = true;
if (g[pre.x][pre.y] == 'B') {
cout << pre.cnt << '\n';
return;
}
for (int i = 0; i < 4; ++i) {
nex.x = pre.x + dx[i];
nex.y = pre.y + dy[i];
if (nex.x < 0 || nex.x >= n || nex.y < 0 || nex.y >= n) continue;
if (g[nex.x][nex.y] == 'x') continue;
if (pre.dir != -1 && pre.dir != i)
que.push({nex.x, nex.y, pre.cnt + 1, i});
else
que.push({nex.x, nex.y, pre.cnt, i});
}
}
while (!que.empty()) {
pre = que.top(); que.pop();
if (g[pre.x][pre.y] == 'B') {
cout << pre.cnt << '\n';
return;
}
for (int i = 0; i < 4; ++i) {
nex.x = pre.x + dx[i];
nex.y = pre.y + dy[i];
if (nex.x < 0 || nex.x >= n || nex.y < 0 || nex.y >= n) continue;
if (g[nex.x][nex.y] == 'x') continue;
if (vis[nex.x][nex.y]) continue;
if (pre.dir != -1 && pre.dir != i)
que.push({nex.x, nex.y, pre.cnt + 1, i});
else
que.push({nex.x, nex.y, pre.cnt, i});
vis[nex.x][nex.y] = true;
}
}