网络流入门手册
前言
由于网络流极其庞大而资料有限,我决定用这个博客先记录一下我学习的大纲,在后期有可能补上内容。对于网上可以找到的,我就一笔带过,只是说明应该了解这个东西;而对于网上难以找到的一些资料,我会尽我所能写出来。
大纲
基本概念
网络最大流 - 增广路类
- 最大流最小割定理:内容与证明
- Ford - Fulkerson 增广:以下所有算法的基础,从贪心上简单地 支持反悔 的实现(增加反边容量)
- Edmonds - Karp(\(O(nm^2)\)):从 F-F 到 EK 的优化,最短路不减 引理(BFS 寻找最短增广路)
- dinic(\(O(n^2 m)\)):当前弧优化,整体 增广过程 的把握(多路增广)
- ISAP:单次 BFS 与 GAP(尤其是实现时
if(!ans) return flow;阻止优化后的 dep 修改机制影响正确性) - F-F \(\to\) EK \(\to\) dinic \(\to\) ISAP,其实是一个不断迭代优化的过程,贪心反悔贯穿始终。
- 时间复杂度证明:反证法 和 极限思想 的极致体现
dinic 复杂度证明(名字自己起的,内容自己证的,建议作为 OI-wiki 食用辅料)
-
单次多路增广上界:\(O(nm)\)
-
层次图层次严格单增证明:
- 合法延续性:原图或前代层次图的 高度标号 / 层次 在 多次迭代 后仍然 合法
合法:任意两点的高度标号 / 层次 大小关系不变; - 同长同层性:长度相同 的增广路的 对应节点 的 层次相同;
\(\implies\) 这两条增广路在 同一层次图 上; - 单次消失性:对 同一层次图 的任意增广路,必然有一条在增广路中的边在下一代残量网络中消失。
故可证,每次迭代后的层次图严格单调递增。
- 合法延续性:原图或前代层次图的 高度标号 / 层次 在 多次迭代 后仍然 合法
关于 ISAP 你需要的
OI-wiki 的代码好像有问题,此外他本身也比较复杂,可以考虑使用如下代码。
\(\text{AC Code by ISAP with the current arc, gap and dep optimization, } 47 ms\text{ with O2.}\)
#include<bits/stdc++.h>
#define ll long long
#define ld long double
#define fsp(x) std::fixed<<std::setprecision(x)
#define forE(u) for(int p=head[u],v=to[p];p;p=next[p],v=to[p])
const int N=205,M=5005;
int n,m,s,t;
struct flow_network {
int cnt=1,head[N],to[M<<1],next[M<<1],lim[M<<1];
int dep[N],gap[N];
inline void add(int u,int v,int w) {
to[++cnt]=v,lim[cnt]=w,next[cnt]=head[u],head[u]=cnt;
to[++cnt]=u,lim[cnt]=0,next[cnt]=head[v],head[v]=cnt;
}
int cur[N];
ll dfs(int u,ll ans) {
if(u==t) return ans;
ll flow=0;
for(int &p=cur[u];p&&ans;p=next[p]) {
int c=std::min(ans,(ll)lim[p]),v=to[p];
if(dep[v]==dep[u]-1&&c) { int fl=dfs(v,c); flow+=fl,ans-=fl,lim[p^1]+=fl,lim[p]-=fl; }
if(!ans) return flow;
}
if(--gap[dep[u]]==0) dep[s]=n;
++gap[++dep[u]];
return flow;
}
inline ll max_flow(int s,int t) {
ll flow=0; std::queue<int> q;
memset(dep,-1,sizeof dep);
q.push(t),gap[dep[t]=0]=1;
while(!q.empty()) {
int u=q.front(); q.pop();
forE(u) if(!lim[p] && dep[v]==-1) ++gap[dep[v]=dep[u]+1],q.push(v);
}
while(dep[s]<n) { memcpy(cur,head,sizeof head); flow+=dfs(s,1e18); }
return flow;
}
} f_n;
int main() {
std::ios::sync_with_stdio(false);
std::cin.tie(nullptr); std::cout.tie(nullptr);
std::cin>>n>>m>>s>>t;
for(int i=1,u,v,w;i<=m;++i) { std::cin>>u>>v>>w; f_n.add(u,v,w); }
std::cout<<f_n.max_flow(s,t)<<'\n';
return 0;
}
优化后的 ISAP 深度维护机制正确性证明
考虑采用数学归纳法。首先,我们先了解该机制的运行细节。
引理 1. 在多路增广中,增广路中满流的边靠近源点一侧的节点 \(u\) 到源点 \(T\) 的路径上的所有节点深度不改变。
考虑我们多路增广的过程 ll dfs(int u,ll ans),dfs 的第二个传参 ans 表示阻塞流大小。所以从 \(u\) 到 \(T\) 的路径的 \(ans\) 必然被流光,即 \(ans=0.\) 根据 if(!ans) return flow; 必然直接返回,不改变深度。该引理得证。
接下来,我们分情况证明其正确性。
结论 2. 对于再无法提供贡献的节点,深度增加与深度赋值极大值等效。
考虑为无法贡献节点赋值极大值(一般是 \(n\))的目的:使其无法再遍历。深度增加会使这些节点组成路径最终与汇点无法通过判断语句 dep[v]==dep[u]-1,进行联结,故深度增加与深度赋值极大值等效,该结论得证。但要注意的是,这种写法会导致这些节点在接下来的遍历过程中仍然被访问,(但无法抵达 \(T\),没有贡献。)会增加一些复杂度,但整体影响不大。该深度维护机制在整体上对代码书写与运行速度的提升都是正向的。
结论 3. 对于还能继续产生贡献的节点,深度增加可以保证其所有边的贡献全部被计入。

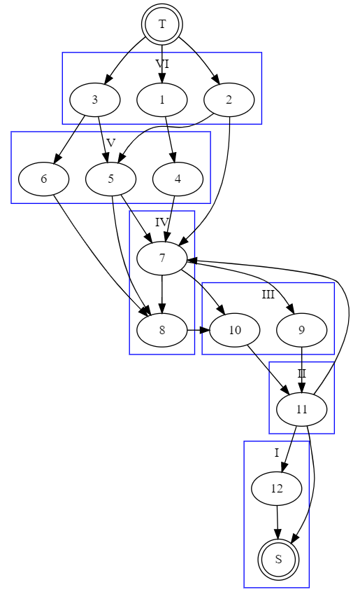
我们以汇点 \(T\) 为中心建立层次图,\(dis(u)\) 表示节点 \(u\) 的层次,将所有边大致分为以下几类:(名称是根据增广时的上下关系,自己取的。)
- 上溯边:前往 \(dis(u)<=dis(v)\) 的节点 \(v\) 的边,如 \((11,7),(7,8)\);(即 \(u\) 更靠近 \(T\) 一侧)
- 合法边:前往 \(dis(u)=dis(v)+1\) 的节点 \(v\) 的边,如 \((7,9)\);(当前层次图要走的边)
- 下越边:前往 \(dis(u)>dis(v)+1\) 的节点 \(v\) 的边,如 \((2,7)\)。(即 \(v\) 更靠近 \(T\) 一侧,但是 \(u,v\) 跨度不止一层)
接下来我们分别证明这些边的贡献会被计入。
-
上溯边:我们把所有上溯边抽象成如下模型:

其中 \((u,v)\) 是上溯边。
考虑增广后在残量网络中消失的边的所有位置,会对该上溯边如下结果:
- 边消失后,可达性不变或 \(v\) 不可达 \(u\):对该上溯边无影响;
- 边消失后,\(S\) 不可达 \(v\):除经过该上溯边外,无法遍历至 \(v,\ v\) 深度不变。
- 边消失后,\(S\) 不可达 \(u\) 或 \(v\) 不可达 \(T\):该上溯边 不可能 再提供贡献。
- 边消失后,\(u\) 不可达 \(T\):\(u\) 成为 死胡同,根据引理 1,\(u\) 的深度将逐渐增加。
至此易得,要么该上溯边 不可能 再提供贡献,要么在 \(S\) 不可达 \(v,\ u\) 不可达 \(T\) 后,\(v\) 深度不变,\(u\) 深度逐渐增加,必然有 \(dis(u)=dis(v)+1,\) 成为合法边。
-
合法边:若此次阻塞流不在边 \((u,v)\) 上,则 \(u,v\) 的深度同时增加,该边仍然合法,有机会在后续的遍历中继续被增广。
-
下越边:考虑下越边的定义,\(dis(u)\) 必然曾经定义为 \(dis(v)+1,\) 后因为该边 满流 等原因导致 \(u\) 深度增加而 \(v\) 深度不变。故该边若有贡献,必然在此代层次图前已经被计入。
综上,所有类型边的贡献均被计入,该结论得证。
根据结论 2 和结论 3,当前深度维护机制的正确性得以证明。
网络最大流 - 预留推进类
准备鸽了……OI中用处不大,学完其他的再学 qwq
无负环费用流
- 基于 EK 的 SSP:如何 结合 EK 和 SPFA,正确性证明
- 基于 dinic 的 SSP:如何 写出正确的代码,注意 dfs 错误可能导致 爆栈空间
魏老师没有给出 dinic 的 SSP 代码,这里我给一个我的版本:
\(\text{AC Code by SSP based on dinic with the current arc optimization, } 1.29s \text{ without O2.}\)
#include<bits/stdc++.h>
#define ll long long
#define ld long double
#define fsp(x) std::fixed<<std::setprecision(x)
#define forE(u) for(int p=head[u],v=to[p];p;p=next[p],v=to[p])
const int N=5e3+3,M=5e4+4;
struct network {
int cnt=1,head[N],to[M<<1],next[M<<1],lim[M<<1],cst[M<<1];
inline void add(int u,int v,int w,int c) {
to[++cnt]=v,lim[cnt]=w,cst[cnt]=c,next[cnt]=head[u],head[u]=cnt;
to[++cnt]=u,lim[cnt]=0,cst[cnt]=-c,next[cnt]=head[v],head[v]=cnt;
}
int t,cost=0,cur[N],dis[N],in[N];
int dfs(int u,int res) {
if(u==t) return res;
int flow=0; in[u]=1;
for(int p=cur[u];p&&res;p=next[p]) {
cur[u]=p;
int c=std::min(lim[p],res),v=to[p];
if(dis[u]+cst[p]==dis[v]&&c&&!in[v]) { int fl=dfs(v,c); flow+=fl,res-=fl,cost+=cst[p]*fl,lim[p]-=fl,lim[p^1]+=fl; }
}
if(!flow) dis[u]=-1;
return in[u]=0,flow;
}
std::pair<int,int> mincost(int s,int t) {
int flow=0; this->t=t;
while(1) {
std::queue<int> q;
memcpy(cur,head,sizeof head);
memset(dis,0x3f,sizeof dis);
dis[s]=0,in[s]=1,q.push(s);
while(!q.empty()) {
int u=q.front(); in[u]=0,q.pop();
forE(u) if(lim[p]&&dis[v]>dis[u]+cst[p]) {
dis[v]=dis[u]+cst[p];
if(!in[v]) in[v]=1,q.push(v);
}
}
if(dis[t]>1e9) return {flow,cost};
flow+=dfs(s,1e9);
}
}
} ntw;
int n,m,s,t;
int main() {
std::ios::sync_with_stdio(false);
std::cin.tie(nullptr); std::cout.tie(nullptr);
std::cin>>n>>m>>s>>t;
for(int i=1,u,v,w,c;i<=m;++i) { std::cin>>u>>v>>w>>c; ntw.add(u,v,w,c); }
auto ret=ntw.mincost(s,t);
std::cout<<ret.first<<' '<<ret.second<<'\n';
return 0;
}