博弈论学习笔记【施工中】
\(SG\)函数
首先定义就不用我讲了吧,还不会的自己查下看看 。
我们主要想把 \(SG\) 函数这个玄妙的东西的运用搞清楚。
再进一步理解一下吧:

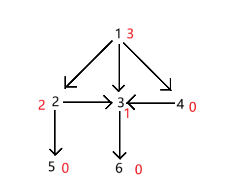
黑色数字是节点编号,红色是 SG 函数值
看下它的过程:
- 首先 \(5\) 和 \(6\) 没有后继节点,为必败态,先赋值为 \(0\)
- \(3\) 只有 \(6\) 一个后继节点,计算得 \(1\)
- 现在我们已经得出了 \(2\) 和 \(4\) 的所有后继节点的值,进而给它赋值
- 最后统计 \(1\) 的子节点中含有的值有\(0,1,2\) 取值 \(3\)
最关键是定义知道了这个东西怎么用呢?首先我们需要明白两点:
- \(SG\) 函数是 \(xor\) 起来用的,故而可能存在两种状态 \(xor\) 起来并不能达到必胜/必败态,故而不能仅仅只赋值为 \(0\) 和 \(1\) 。
- \(SG\) 函数的值是可以由我们任意决定的,我们主要通过搜索的方式进行赋值。
那么我们来抓个典型
【SSLOJ 1633】B君的游戏
\(B\)君和\(L\)君要玩一个游戏。刚开始有 \(n\) 个正整数 \(a_i\) 。
双方轮流操作。每次操作,选一个正整数 \(x\),将其移除,再添加 \(7\) 个数字 \(x_1,x_2...x_7\) 。要求对于 \(x_i\) ,满足 \(0\le x_i<x\) 且 \(x\ \&\ x_i = x_i\)
注意\(0\)不能被选取,所以这个游戏一定会结束,而谁无法操作谁就失败。
\(B\)君根据自己的经验,认为先手胜率高一点,所以\(B\)君是先手。
B君想知道自己是否必胜。
第一行一个整数\(n (1 \le n \le 100000)\)
以下 \(n\) 行 \(n\) 个数 \(a_i (0 \le a_i < 2^64)\)
输入样例
4
1
2
3
4
输出样例
B
基本思路
很显然,后继状态及结果至于 \(x\) 中 \(1\) 的个数有关,因为本质就是从 \(x\) 中选几个 \(1\) 出来嘛。这题我们暴力打出每种 \(1\) 的个数下的 \(SG\) 函数就可以了。
上代码,我们也借此了解一下 \(SG\) 函数是如何被计算的。
#include<bits/stdc++.h>
using namespace std;
typedef long long ll;
const int N=1e5+10;
const int M=7e7+10;
int sg[70];
bool vis[M];
inline void dfs(int num,int p,int ans,int cur){
// 搜索求解sg函数值
// num限制最大值,cur限制最小值,p控制递归层数
if(p==0){
vis[ans]=true;
return;
}
for(int i=cur;i<num;i++){
dfs(num,p-1,ans^sg[i],i);
}
}
inline void init(){
printf("{");
sg[0]=0;
for(int i=1;i<=64;i++){
memset(vis,0,sizeof(vis));
dfs(i,7,0,0);
for(int j=0;j<M;j++){
if(vis[j]==false){
sg[i]=j;
break;
}
}
cout<<i<<":";
printf("%d",(sg[i]));
if(i<64) printf(",");
}
cout<<"}";
}
int main(){
// ios::sync_with_stdio(false);
init();
return 0;
}
我们先仔细看看搜索部分
inline void dfs(int num,int p,int ans,int cur){
// 搜索求解sg函数值
// num限制最大值,cur限制最小值,p控制递归层数
if(p==0){
vis[ans]=true;
return;
}
for(int i=cur;i<num;i++){
dfs(num,p-1,ans^sg[i],i);
}
}
Q1:为什么要用 \(p\) 来限制递归层数,而且可以在 \(init\) 中看到限制了 \(7\) 层?
这个 \(7\) 就是题目中说的选出 \(7\) 个数,因为选出来的数 \(1\) 的个数都比 \(x\) 要少,故而他们的 \(SG\) 值都算好了,将他们 \(xor\) 起来就可以得到当前答案了。
Q2:为什么要将他们的后继节点的 SG 值都异或起来呢?
因为我们可以发现实际上 \(SG\) 函数的用法就是异或起来,据此判断先后手必胜,详细证明会很麻烦。
O3为什么还要限制最小值呢?
因为仔细观察你就会发现这实际上是将全排列转换成了组合计数,减少了时间复杂度,删去了重复的递归,因为后面选择的数是严格大于等于前面选择的数的。
Q4: \(vis\) 数组是干什么用的?
这个显然就是进行 \(mex\) 运算的,记录后继状态中有那些值,然后向 \(init\) 中求解。
最后输出就像这样:
{1:1,2:2,3:4,4:8,5:16,6:32,7:64,8:128,9:255,10:256,11:512,12:1024,13:2048,14:3855,15:4096,16:8192,17:13107,18:16384,19:21845,20:27306,21:32768,22:38506,23:65536,24:71576,25:92115,26:101470,27:131072,28:138406,29:172589,30:240014,31:262144,32:272069,33:380556,34:524288,35:536169,36:679601,37:847140,38:1048576,39:1072054,40:1258879,41:1397519,42:2005450,43:2097152,44:2121415,45:2496892,46:2738813,47:3993667,48:4194304,49:4241896,50:4617503,51:5821704,52:7559873,53:8388608,54:8439273,55:8861366,56:11119275,57:11973252,58:13280789,59:16777216,60:16844349,61:17102035,62:19984054,63:21979742,64:23734709}
--------------------------------
Process exited after 104 seconds with return value 0
请按任意键继续. . .
我这里还加了编号,用的时候自然得去掉。
核心代码
#include<bits/stdc++.h>
using namespace std;
typedef unsigned long long ull;
ull sg[70]={0,1,2,4,8,16,32,64,128,255,256,512,
1024,2048,3855,4096,8192,13107,16384,
21845,27306,32768,38506,65536,71576,
92115,101470,131072,138406,172589,240014,
262144,272069,380556,524288,536169,679601,
847140,1048576,1072054,1258879,1397519,
2005450,2097152,2121415,2496892,2738813,
3993667,4194304,4241896,4617503,5821704,
7559873,8388608,8439273,8861366,11119275,
11973252,13280789,16777216,16844349,
17102035,19984054,21979742,23734709};
ull n,a,ans,sum;
int main() {
ios::sync_with_stdio(false);
cin>>n;
while(n--){
cin>>a;
sum=0;
while(a){
a^=(a&(-a));
sum++;
}
ans^=sg[sum];
}
if(ans) cout<<"B";
else cout<<"L";
return 0;
}
再抓个典型巩固一下
【luogu P10501】 Cutting Game
P.S.进一步可点击链接前往往洛谷参考题解。
题面翻译
【题目描述】
Urej 喜欢玩各种类型的沉闷游戏。他通常会邀请其他人和他一起玩。他说,玩这些游戏可以展现他的非凡智慧。最近,Urej 对一个新游戏产生了极大兴趣,而 Erif Nezorf 成为了牺牲品。为了摆脱玩这样一个沉闷游戏的痛苦,Erif Nezorf 请求你的帮助。这个游戏使用一个由 \(W * H\) 格网组成的矩形纸张。两名玩家轮流将纸张切割成两个矩形部分。在每个回合中,玩家可以横向或纵向切割,保持每个格网完整。经过 \(N\) 轮后,纸张将被切割成 \(N+1\) 片,然后在后续的回合中,玩家可以选择任意一片进行切割。如果一名玩家切割出一个只有一个格网的纸片,他就赢得了游戏。如果这两个人都非常清楚,你应该写一个问题来告诉是否先手的玩家能赢得游戏。
【输入格式】
输入包含多个测试用例。每个测试用例在一行中只包含两个整数 \(W\) 和 \(H (2 \le W , H \le 200)\),分别表示原始纸张的宽度和高度。
【输出格式】
对于每个测试用例,应该只输出一行。如果先手的玩家能赢得游戏,则输出 "WIN",否则输出 "LOSE"。
样例 #1
样例输入 #1
2 2
3 2
4 2
样例输出 #1
LOSE
LOSE
WIN
基本思路
这个也很显然,状态是什么?就是一张纸的长和宽嘛,长和宽就对应了它的 \(SG\) 值。可能有同学会疑问,可是我们裁出的是两张纸啊,不一定非要再这张上进行操作,在另一张纸上裁一刀周旋一下嘛。问题是我们最后要把各个状态的 \(SG\) 值异或起来啊,一定是会把两个状态(两张纸)异或起来才是答案嘛。
好了,就像上面说的,这次还是搜索求 \(SG\) 值吗?显然不会是,我们会用递归(这两个思想还是有点区别的)。上一道题的搜索是在搜什么?就是排列组合它的状态啊,我们这道题还要用上面这种方式找出它的所有后继状态吗?我们裁出的是两张,那直接 \(for\) 循环枚举裁出的长度就可以了。但这道题一定要注意,不能裁出含有一边长度为 \(1\) 的,那就是必败了(显然不符合博弈论双方都采用最优措施的设定了)
Code
#include <bits/stdc++.h>
using namespace std;
typedef long long ll;
const int N=210;
const int S=7e4+10;
int sg[N][N],w,h;
inline int SG(int x,int y){
if(sg[x][y]!=-1) return sg[x][y];
bool vis[S];
memset(vis,0,sizeof(vis));
for(int i=2;i<x-1;i++) vis[SG(i,y)^SG(x-i,y)]=true;
for(int i=2;i<y-1;i++) vis[SG(x,i)^SG(x,y-i)]=true;
//计算
for(int i=0;i<S;i++)if(vis[i]==false)
return sg[x][y]=i;
}
int main(){
ios::sync_with_stdio(false);
memset(sg,-1,sizeof(sg));
while(cin>>w>>h){
if(SG(w,h)==0) cout<<"LOSE\n";
if(SG(w,h)) cout<<"WIN\n";
}
return 0;
}
大家也可以看到这次不是预处理 \(SG\) 值了,而是在线算法求解,如果碰到哪个 \(SG\) 值还不知道的就直接递归求解就可以啦。
也可能有同学会疑惑对于必败点的问题,\(1*1\) 是必胜点,那么我们可以发现 \(2*2 , 2*3 ,3*2\) 就是必败点了,因为怎么裁都会裁出\(1*X\) 的纸。这里就不用考虑这个问题,因为到上述状态是因为会裁处一边为 \(1\) ,就无法计算,会自动赋值为 \(0\) 。
如果还想再被 SG 函数恶心一下由此进入
(于此更新:2024.10.22 )
允许我再唠叨一道题!
【luogu P2953】 Cow Digit Game S
题目描述
贝茜和约翰在玩一个数字游戏.贝茜需要你帮助她.
游戏一共进行了\(G(1≤G≤100)\)场.第i场游戏开始于一个正整数\(Ni(l≤Ni≤1,000,000)\).游
戏规则是这样的:双方轮流操作,将当前的数字减去一个数,这个数可以是当前数字的最大数码,也可以是最小的非0数码.比如当前的数是3014,操作者可以减去1变成3013,也可以减去4变成3010.若干次操作之后,这个数字会变成0.这时候不能再操作的一方为输家. 贝茜总是先开始操作.如果贝茜和约翰都足够聪明,执行最好的策略.请你计算最后的赢家.
比如,一场游戏开始于13.贝茜将13减去3变成10.约翰只能将10减去1变成9.贝茜再将9减去9变成0.最后贝茜赢.
输入格式
* Line 1: A single integer: G
* Lines 2..G+1: Line i+1 contains the single integer: N_i
输出格式
* Lines 1..G: Line i contains 'YES' if Bessie can win game i, and 'NO' otherwise.
样例 #1
样例输入 #1
2
9
10
样例输出 #1
YES
NO
提示
For the first game, Bessie simply takes the number 9 and wins. For the second game, Bessie must take 1 (since she cannot take 0), and then FJ can win by taking 9.
基本思路
一定要审清楚题!只有两个转移方向,一个是减去最大数字,一个是减去最小非零数字。
我也不清楚这是不是 \(SG\) 函数,但直觉告诉我这应该是一个 \(SG\) 函数的变式。
首先我们申明一下博弈论的基本思想:
- 如果一个状态的后继状态存在必败状态,则该状态为必胜态。能使对手必败那不抓紧往那个方向转移?
- 如果一个状态的后继状态全部为必胜状态,则该状态为必败状态。因为没法使对手必败。
\(SG\) 函数为什么不设成 \(true\) 和 \(false\) 直接表示必胜或必败呢?像上一题,有多堆石子, \(1\) 和 \(1\) 异或起来就会变成 \(0\) ,这显然不合理嘛,因为这是个联合多点的局面,会存在两堆必胜态异或起来达不到必败状态的情况。
但是这题不一样。
我们要操作的是单点而非一个局面,意思就是说我们现在只有 \(mex\) 运算而没有 \(xor\) 运算。这么说就可以用 \(true\) 和 \(false\)表示了,而计算也依据上面的基本思想可以轻易地得出。
Code
#include<bits/stdc++.h>
using namespace std;
typedef long long ll;
const int N=1e6+10;
int n,g;
bool f[N];
inline void getnum(int x,int &maxn,int &minn){
maxn=1;minn=10;
while(x){
maxn=max(maxn,x%10);
if(x%10>0&&x%10<minn) minn=x%10;//特别注意
x/=10;
}
}
int main(){
ios::sync_with_stdio(false);
//f中初始就全是false
for(int i=1;i<10;i++)
f[i]=true;//一步到位,必胜
for(int i=10;i<N;i++){
int p,q;
getnum(i,q,p);
if(f[i-p]==false&&p>0||f[i-q]==false&&q>0)//存在必败状态
f[i]=true;
}
cin>>g;
while(g--){
cin>>n;
if(f[n]) puts("YES");
else puts("NO");
}
return 0;
}
再送一道题做做,如果做出来了说明你已经上道了P4018 Roy&October之取石子