Codeforces Round 892 (Div. 2)E. Maximum Monogonosity(动态规划,数学)
题目链接:https://codeforces.com/contest/1859/problem/E
题意:
有长度为n的a和b俩个序列,定义f【l,r】 = abs(a【l】-b【r】) + abs(b【l】-a【r】);
给正整数k,求 不相交 的 区间 且 所有 区间的长度 的 和 为 k 的 最大值 是多少?
分析:
这里借鉴一个佬的思路:
首先考虑比较正常的dp,dp【i】【j】 为前 i 的长度里 有 j 个 长度被选中的最大价值,那么转移方程是:

直接转移的话,时间复杂度是 O(n*k^2) ,显然是过不了,考虑优化;
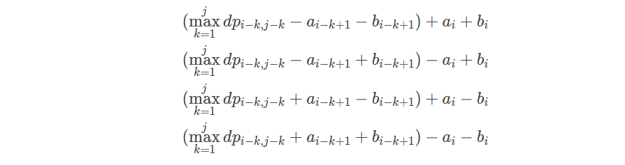
看出原式是有绝对值的,考虑把绝对值展开:

归纳总结一下:

那么可以看出,我们可以用4个一维dp来记录一下左边括号内的数,那么时间复杂度可以优化到 :O(n*k);
代码:
#include<bits/stdc++.h> #define int long long const int N = 3e3 + 3; int dp[N][N], f[4][N]; signed main() { std::ios::sync_with_stdio(false); std::cin.tie(0); std::cout.tie(0); int T; std::cin >> T; while (T--) { int n, m; std::cin >> n >> m; std::memset(f, 0x80, sizeof f); std::vector<int> a(n + 1, 0), b(n + 1, 0); for (int i = 1; i <= n; ++i)std::cin >> a[i]; for (int i = 1; i <= n; ++i)std::cin >> b[i]; for (int i = 1; i <= n; ++i) for (int j = 1; j <= m && j <= i; ++j) { dp[i][j] = dp[i - 1][j]; f[0][i - j] = std::max(f[0][i - j], dp[i - 1][j - 1] - a[i] - b[i]); f[1][i - j] = std::max(f[1][i - j], dp[i - 1][j - 1] + a[i] - b[i]); f[2][i - j] = std::max(f[2][i - j], dp[i - 1][j - 1] - a[i] + b[i]); f[3][i - j] = std::max(f[3][i - j], dp[i - 1][j - 1] + a[i] + b[i]); dp[i][j] = std::max(dp[i][j], f[0][i - j] + a[i] + b[i]); dp[i][j] = std::max(dp[i][j], f[1][i - j] + a[i] - b[i]); dp[i][j] = std::max(dp[i][j], f[2][i - j] - a[i] + b[i]); dp[i][j] = std::max(dp[i][j], f[3][i - j] - a[i] - b[i]); } std::cout << dp[n][m] << "\n"; } return 0; }
感觉这题纯dp,先有朴素想法,然后把绝对值展开,再来个简单dp,结合一下就可以了:)